我国现行标准规范GB14907–2002《钢结构防火涂料》,对钢结构防火涂料的分类和质量要求作出了明确的规定。国家消防产品质量监督检验机构对超薄型、薄型、厚型钢结构防火涂料产品,分别进行2±0.2mm、5±0.2 mm和25±2mm三个标准涂层厚度的型式检验,将检验结果(涂层厚度和耐火性能试验时间)作为该产品型式认可证书的产品名称和规格型号的证书内容。
1钢结构防火涂料分类:
钢结构防火涂料按使用场所可分为:
a) 室内钢结构防火涂料:用于建筑物室内或隐蔽工程的钢结构表面;
b) 室外钢结构防火涂料:用于建筑物室外或露天工程的钢结构表面。
钢结构防火涂料按使用厚度可分为:
a) 超薄型钢结构防火涂料:涂层厚度小于或等于3 mm;
b) 薄型钢结构防火涂料:涂层厚度大于3 mm且小于或等于7 mm;
c) 厚型钢结构防火涂料:涂层厚度大于7 mm且小于或等于45 mm。
2涂层厚度与耐火极限
钢结构防火涂料的质量受多种因素的影响。不同的生产厂家,由于原材料、生产工艺、配方等因素,其产品质量是不同的。相同的生产厂家、相同类型的不同批次的产品,其产品质量也存在差异。如表3所示。
表3、某厂家钢结构防火涂料耐火极限检测数据
| 涂料名称 | 产品批次编号 | 涂层厚度(mm) | 耐火极限(min) |
| 超薄型钢结构防火涂料 | CB – 1 | 2.68 | > 120 |
| CB – 2 | 1.80 | > 90 | |
| CB – 3 | 1.50 | > 90 | |
| CB – 4 | 2.53 | 112 | |
| CB – 5 | 2.57 | 61 | |
| CB – 6 | 0.68 | > 30 | |
| CB – 7 | 1.18 | 33 |
| 薄型钢结构防火涂料 | B – 1 | 4.68 | > 160 |
| B – 2 | 8.20 | 141 | |
| B – 3 | 4.80 | 120 | |
| B – 4 | 4.80 | 120 | |
| B – 5 | 3.39 | >90 | |
| B – 6 | 3.50 | 87 | |
| B – 7 | 4.70 | 110 | |
| B – 8 | 1.20 | >32 |
| 厚型钢结构防火涂料 | H – 1 | 30.0 | 212 |
| H – 2 | 30.8 | 130 | |
| H – 3 | 26.0 | >180 | |
| H – 4 | 37.0 | >180 | |
| H – 5 | 30.0 | 180 | |
| H – 6 | 38.7 | 182 | |
| H – 7 | 20.0 | >120 | |
| H – 8 | 17.8 | 98 |
由表3可以看出,相同类型不同批次的防火涂料,其涂层厚度与耐火极限的相关性不大。从理论上讲,同一批次的防火涂料,在一定范围内,涂层厚度与耐火极限之间的函数应该是相关的。
但由于钢结构防火涂料的耐火极限与涂层厚度是在试验室条件下测出的,与施工现场的技术条件存在较大差异,目前尚不具备对施工中的喷涂厚度进行换算的技术条件。
为了进行验证,我们选择了同一生产批次的厚型钢结构防火涂料按不同的喷涂厚度进行了耐火极限的试验检测。
其结果列于表4。从中可以看出,耐火极限是随着涂层厚度的增加而增加的,但由于本专题经费有限,不能进行更多的试验,因此,不能确定涂层厚度与耐火极限的相关性大小。
表4、某厚型钢结构防火涂料耐火极限
| 试验编号 | 涂层厚度(mm) | 耐火极限(min) |
| HT – 1 | 15 | 115 |
| HT – 2 | 25 | 205 |
| HT – 3 | 30 | 210 |
从以上分析认为,钢结构防火涂料的耐火极限与检测时的涂层厚度是唯一对应的,施工时的实际喷涂厚度不能进行换算,必须根据耐火极限的检测数据确定。在施工现场进行质量检测时,涂层厚度是否满足设计要求应以该批次耐火极限的检测数据为依据。
3钢结构防火涂料厚度与耐火极限的关系
按照GB9978建筑升温曲线的标准的话有如下关系
1.5h 2.0h 2.5h 3.0h
11mm 15mm 19mm 23mm
按照BSEN1363-2:1999烃类火灾升温曲线有如下关系
1.5h 2.0h 2.5h
15mm 24mm 32mm
4钢结构防火涂料施用厚度计算方法
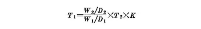
在设计防火保护涂层和喷涂施工时,根据标准试验得出的某一耐火极限的保护层厚度,确定不同规格钢构件达到相同耐火极限所需的同种防火涂料的保护层厚度,可参照下列经验公式计算:
式中T1——待喷防火涂层厚度(mm);
T2——标准试验时的涂层厚度(mm);
W1——待喷钢梁重量(kg/m);
W2——标准试验时的钢梁重量(kg/m);
D1——待喷钢梁防火涂层接触面周长(mm);
D2——标准试验时钢梁防火涂层接触面周长(mm);
K——系数。对钢梁,K=1;对相应楼层钢柱的保护层厚度,宜乘以系数K,设K=1.25。
公式的限定条件为:W/D≥22,T≥9mm,耐火极限t≥1h。
参考资料: GB14907–2002《钢结构防火涂料》公安部消防产品合格评定中心消防类产品型式认可实施规则 。
